三相變壓器的變比如何計算?

在電機學中,三相變壓器的變比定義是變壓器的額定相電壓之比。在電力系統分析中,當三相變壓器的原始、副邊參數和外部電路參數轉換時,使用的變比是變壓器的額定電壓(線電壓)之比。原因是什么?電機學中的變比定義與電力系統分析中的變比定義不同嗎?

引文作者:上海蓋能電氣市場部(專注干式變壓器30年)

電話:189 1886 3098(微信同號)

在討論之前,我們應該明確,如果三相變壓器的原始和副式,變壓器相電壓比等于變壓器線電壓比。因此,問題主要在于Y/D接線的三相變壓器。

三相變壓器變比的定義是什么?

首先,我們來看看電機學中變壓器變比的定義。變壓器原繞組與變壓器副繞組之比稱為變壓器變比,用k表示。

由于變壓器感應電勢與變壓器繞組匝數成正比,

可以看出,變壓器的變比本質是原副邊繞組的匝數之比。由于變壓器空載時,原副邊相電壓與相電勢相似,從定義上看,變壓器的變比為相電壓之比。

電力系統中變壓器的變比有什么特點

然后,我們來看看電力系統分析中使用的變壓器變比。在電力系統分析中,在計算涉及兩個或兩個以上電壓等級的網絡參數時,需要將不同電壓等級的變壓器參數和網絡參數轉換為變壓器同側。此時,需要使用變壓器的變比。

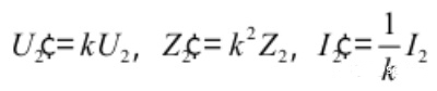
如圖所示,如果我們想將下圖中的所有參數轉換為10kV側,我們需要將110kV側的所有參數(阻抗、導納、電壓、電流)乘以轉換系數。

這里的電壓電流分別為線電壓、線電流和相阻抗。

變壓器變比總結

變比作為變壓器的參數,主要關注變壓器內部的接線形式和實際繞組匝數比。因此,三相變壓器的變比是變壓器的相電壓比。在電力系統的實際計算中,變壓器與外電路的關系更為重要。因此,使用的變壓器變比不是變壓器的實際變比,而是一種轉換變比。簡言之,變壓器的變比強調變壓器的內部參數,采用相電壓比;電力系統參數轉換中使用的變壓器變比主要強調變壓器與外電路的關系,采用線電壓比。